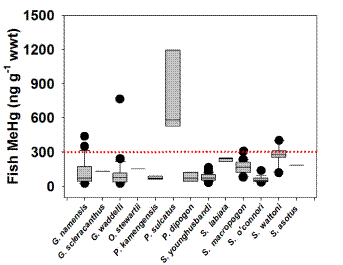
汞是一种可以全球传输的对人体有害的重金属。前期研究指出,青藏高原的大气、水体、土壤等环境介质中汞的含量很低,是全球汞分布的背景区域之一。然而,关于青藏高原野生鱼类汞含量及富集作用的研究仍相当缺乏。日前,我所联合香港科技大学开展了青藏高原野生鱼类汞含量的调查研究,发现一个有趣现象:在高原水体汞含量非常低的背景下,野生鱼体的汞含量相对较高,具有显著的富集作用,这与我国其他地区相对高汞污染环境中鱼体汞含量相对较低的结果形成鲜明对照。研究发现,高原特有野生鱼类在低温寡营养环境中具有极低的生长率和较长的寿命、较低的甲基汞去除率以及该地区水生生态系统食物链高效的甲基汞富集等,这些是造成汞富集的原因。 研究人员在青藏高原南部的13处河流和湖泊中(图1)采集了13种鱼类共计166尾样本,对其进行了总汞和甲基汞等分析发现,高原鱼类的总汞和甲基汞含量分别为25.1~1218 ng g−1和24.9~1196 ng g-1(以湿重计,下同),这与我国东部地区鱼类汞含量相当,部分鱼类汞含量甚至高于某些汞污染区域鱼类的汞含量。例如,采集自林芝地区八一镇附近雅鲁藏布江的3尾黄斑褶鮡的甲基汞含量达525~1196 ng g-1(图2),是我国野生淡水鱼汞含量的最高记录之一。这与青藏高原环境介质中极低的汞含量水平形成强烈反差。 一般而言,鱼类富集汞受制于环境和生物两方面因素。前期研究表明,青藏高原水体汞含量很低,且高原的低温和强紫外线作用及碱性水体特征等均不利于甲基汞的形成;另外,高原河流和湖泊属寡营养生态系统,鱼类以底栖藻类或小型无脊椎动物为食,食物链往往很短,这一系列条件均不利于鱼类吸收和累积汞。但本研究揭示出,高原鱼类生长速率极低且鱼龄较长,根据Von Bertalanffy鱼类生长方程估算,鱼类样本的年龄普遍在5年以上,最高可达32年,这使得高原鱼类在漫长的生长过程中得以积累大量的汞;研究首次报道了纳木错湖低营养级水生无脊椎动物枝角类、桡足类、端足类的汞含量,其总汞含量为13~16 ng g-1,甲基汞与总汞比例为53%~66%,该比例明显高于世界其它非酸性湖泊中类似水生动物的甲基汞比例(一般低于30%)(图3),表明青藏高原水生生态系统具有较高的汞同化率和传递效率,进而为鱼类富集甲基汞提供了条件。综合分析表明,青藏高原水生生态系统可能具有较其它地区不同的汞富集与传递机制。 上述研究结果最近发表于美国化学学会“环境科学与技术”杂志上(Zhang, Q. G., Pan K., Kang, S. C., Zhu, A. J., Wang, WX., 2014, Mercury in Wild Fish from High-Altitude Aquatic Ecosystems in the Tibetan Plateau. Environmental Science & Technology, 48, 5220−5228 (DOI:10.1021/es404275v.)。 
图1 鱼类样本采集地点 
图2 青藏高原不同鱼类的甲基汞含量 
图3 纳木错水生动物汞含量(柱形)、甲基汞比例(蓝色)和富集系数(BAF-五角星)分布图 |