近几十年来,青藏高原经历了快速变暖,伴随着降水增加。预计到21世纪末,年平均气温和降水量将分别增加2.8-4.9摄氏度和15-21%。在这种暖湿化背景下,导致高寒草地植被物候变化的主要驱动因子究竟是增温还是增雨,仍存在很大争议。以往的增温实验很少关注降水变化带来的影响,且单纯的增温结果也不尽相同。结合温度与降水变化的双因素控制实验案例较少,且在不同生态系统中其结果也存在很大差异。
现阶段,野外增温实验多利用开顶箱观测记录,不可避免地改变了箱体内的微气候,而采用人为周期性洒水方法无法模拟全年自然发生的降水事件。这些不确定性限制了我们深入理解青藏高原植被生长如何响应未来气候变化。
青藏高原拥有全球海拔最高、面积最大的高寒草甸和草原,其形成和分布主要受印度季风气候的控制。其广布优势物种如何同时适应寒冷和干旱的气候环境,是理解高寒草地植被物候响应气候变化的关键。近30年来,青藏高原温度和降水变化呈现同步增加趋势,同时考虑增温和增雨效应的双因素控制实验数据,才能明确解释遥感数据背后的高寒草地植被返青/枯黄物候多样化格局的原因和机制。
为此,中国科学院青藏高原研究所生态系统格局与过程团队罗天祥研究员等在高原中部念青唐古拉山北坡的西藏纳木错高寒湖泊与环境国家野外科学观测研究站建立了红外增温(5-9月每天24小时)和自动增雨(模拟全年每次降水事件)控制实验平台(图1)。通过监测3个优势物种(紫花针茅、大花嵩草、钉柱委陵菜)返青期与枯黄期物候,同步记录气温、降水、土壤温度和土壤水分,解析了增温(+2℃)与增雨(+15%,+30%)对高寒草原-草甸过渡带优势种物候变化的影响,明确了高寒草地物候变化的主要驱动因子。
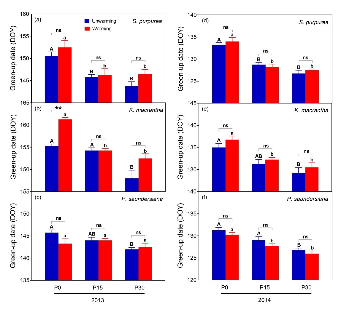
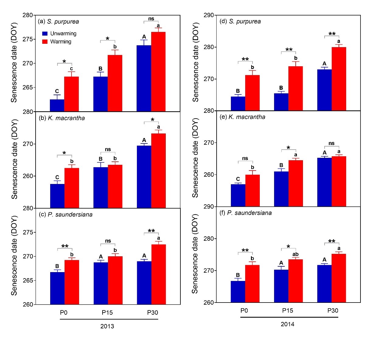
连续两年(2013、2014)的实验观测数据表明:1)增雨普遍导致3个优势物种返青期提前,而增温则推迟其返青期或影响不显著(图2);2)增温与增雨都能显著推迟3个优势物种枯黄期,并且增温与增雨无交互效应(图3);3)3个优势种返青期同步或稍晚于雨季来临(图4),春季降水增加导致雨季来临时间提前并增加土壤水分,进而促进植被返青(图5)。
研究结果表明,适应雨热同期季风气候的高寒植被物候对降水变化更加敏感;在2℃增温与增雨>15%条件下,高寒草地优势物种生长季的延长主要与秋季物候的推迟有关,而春季物候提前的影响相对较小。在青藏高原暖湿化背景下,该研究为我们正确认识高寒草地生态系统对气候变化的响应机制提供了重要科学支撑。
研究成果以“Increased precipitation leads to earlier green-up and later senescence in Tibetan alpine grassland regardless of warming”为题,在线发表于《Science of the Total Environment》,我所在读博士生马鹏飞为论文第一作者,罗天祥研究员为通讯作者。本研究获得国家自然科学基金(41830649)和第二次青藏高原综合科学考察研究(2019QZKK0106)的资助。
论文链接:https://doi.org/10.1016/j.scitotenv.2023.162000

图1 研究站点植被类型(a)、气象条件(b)和实验设计(c)

图2 不同增温与增雨处理对优势物种返青期的影响
P0:自然降水,P15:增雨15%,P30:增雨30%。大写与小写字母分别为不增温与增温处理的方差分析,不同字母代表存在显著差异。* 表示P<0.05,** 表示P<0.01。

图3 不同增温与增雨处理对优势物种枯黄期的影响
P0:自然降水,P15:增雨15%,P30:增雨30%。大写与小写字母分别为不增温与增温处理的方差分析,不同字母代表存在显著差异。* 表示P<0.05,** 表示P<0.01。

图4 雨季来临时间(RSO)与3个优势物种返青期(GUD)的关系

图5 不同实验处理中优势种返青期与雨季来临时间和日均土壤温度和水分的关系
灰色竖线代表雨季来临时间,不同颜色箭头代表3个优势物种返青期。所有虚线与实线分别表示2013与2014年数据。