跨区域贸易对区域可持续用水非常重要。虚拟水,即隐含在产品或服务中的水资源,将区域间贸易和区域间水资源转移联系了起来。从虚拟水的角度来看,一个地区缺水可能是由其他地区的消费者行为所导致。
为此,本研究以京津冀地区为例,从水质和水量两个角度,揭示了区域间贸易对京津冀城市群的水资源压力的影响。作者对中国31个省份和京津冀地区的13个城市的投入产出表进行了嵌套,通过投入产出模型计算了京津冀地区的虚拟水(蓝水、灰水)转移。各个部门的蓝水(Blue water)数据来源于水资源年报和环境统计数据库;灰水(Gray water)足迹被定义为根据水质标准吸收污染物负荷所需的水量,其值为污染物负荷与所考虑污染物的环境水质标准与其在受纳水体中的自然浓度之差的比值。
研究人员发现,从行业部门来看,农业部门对蓝水足迹的贡献最大,为74%。相较与蓝水足迹,家庭是灰水足迹的主要贡献者,约为39%,农业是第二贡献者,约为37%。此外,上述城市的水量衡量指标(WSqn)均超过0.2。水质衡量指标(WSqa)大于1.0,表明京津冀地区的13个城市都面临着与数量和质量相关的缺水问题。

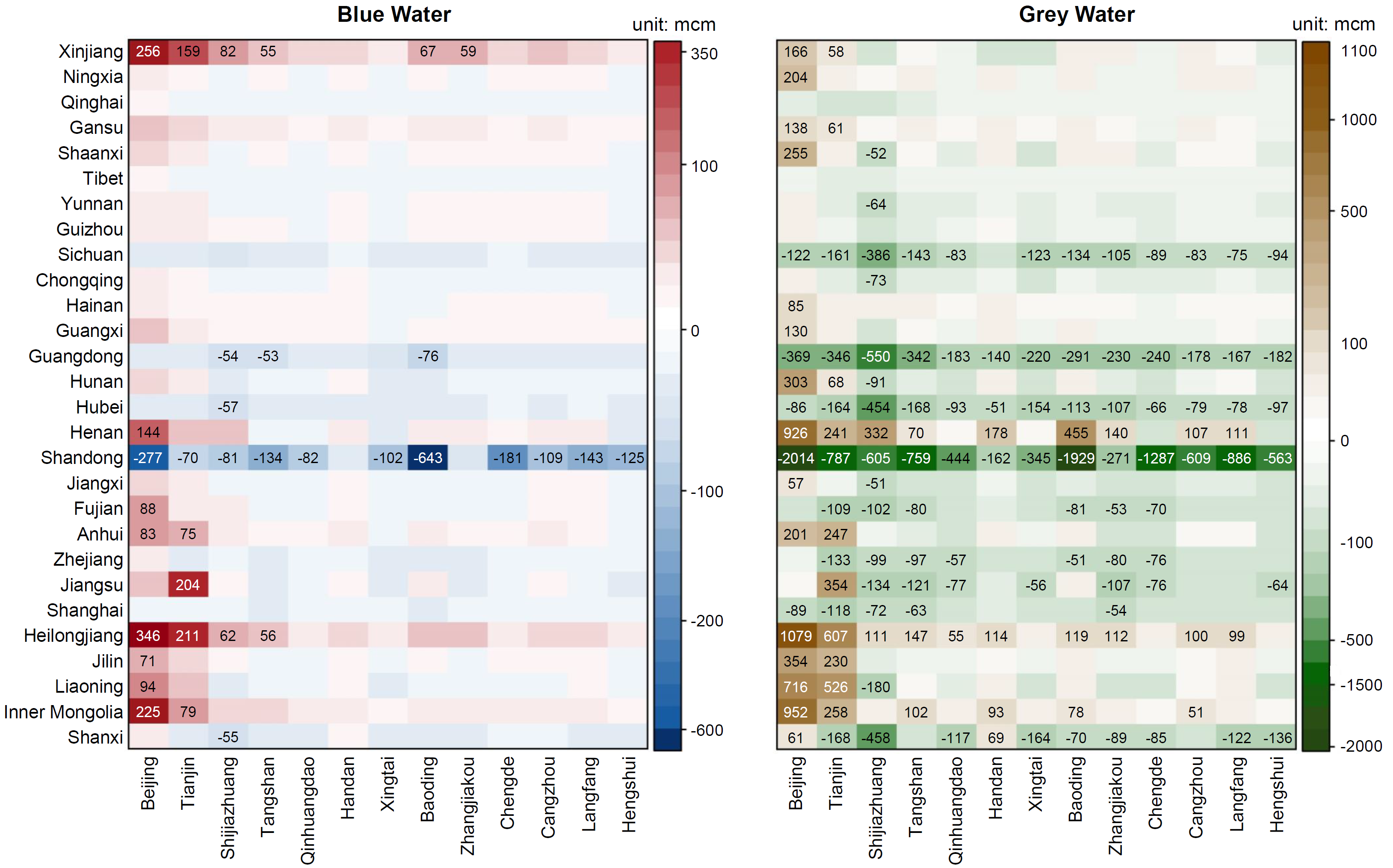
图1 京津冀地区蓝水和灰水足迹
从最终使用来看,与贸易相关的蓝水足迹占比很高,本地消费对其贡献比例仅35%,每个城市因贸易流出的水资源都超过了当地水足迹的50%。本地消费对灰水足迹的贡献为54%。

图2 京津冀地区蓝水和灰水足迹最终消费构成
考虑省份间贸易时,京津冀地区是虚拟蓝水流入方,主要从西北、西南和中部地区进口蓝水。但具体到每个城市,只有天津和北京是虚拟水流入方,其余城市都是流出方。

图3 京津冀地区和其他省份间虚拟水流动格局
在京津冀地区内部,北京、天津、承德、廊坊四座城市是虚拟水流入方,供水压力被转移至京津冀地区其他城市。

图4 京津冀地区城市间虚拟水流动格局
作者进一步提出,依赖其他缺水区域的水资源并不能维持可持续用水,京津冀地区应当酌情减少用水量较高的产品消费。对于贸易隐含水资源的流出地区,要通过科技进步达到减少用水的目的,最终实现可持续用水。
上述研究成果以“The impact of interregional trade on both quantity- and quality-related water scarcity of Beijing-Tianjin-Hebei urban agglomeration in China”为题,发表在《Sustainable Cities and Society》上。(《Sustainable Cities and Society》是区域可持续发展领域影响力较大的期刊,2021-2022年度影响因子为10.696)
青藏高原地球系统与资源环境重点实验室、区域可持续发展与重大工程支撑中心成员张卓颖为通讯作者。该研究获自然科学基金项目(42101289,71874183)的资助。
论文链接: https://www.sciencedirect.com/science/article/pii/S2210670722005753