在过去两百多万年的第四纪历史时期内,高原及其周边山地的冰川在冰期与间冰期气候旋回的背景下发生前进和后退。与现代冰川研究相比,研究第四纪冰川对高原气候在较长时间尺度上对全球变化的区域响应方面具有明显的优势,因而青藏高原冰川一直受到国际第四纪冰川研究者的广泛关注。青藏高原冰川区丰富的冰川遗迹(冰川侵蚀地貌和沉积地貌)是过去冰川时空演化最直观的证据,通过研究这些遗迹恢复出古冰川的期次、规模可为重建青藏高原冰期气候环境以及认识高原对全球气候的响应机制提供科学的依据。目前青藏高原的冰川地貌学年代学研究已广泛开展起来,这些年代学研究成果为古冰川的定量重建打下坚实的基础。古冰川-气候的模拟模型研究提供了一种可靠的定量重建古冰川以及从冰川地貌本身直接推断冰期古气候的手段,这些研究工作在青藏高原也已经逐步开展起来,为高原上古冰川对气候响应的敏感性以及古冰川的规模(尤其是体积)的恢复提供了关键证据。我所易朝路课题组(许向科副研究员为第一和通讯作者)利用耦合的冰川物质平衡和流动模型在念青唐古拉山西段南坡的四条冰川谷地内开展了冰川对气候敏感性以及末次冰期时两次冰川前进的模拟工作(图1)。
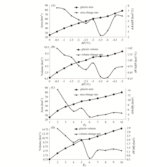
该研究主要结论有:在逐步降温的条件下模拟冰川的变化(图2),温度降低<2°C,该区内冰川类型为山谷冰川;>3°C为山麓冰川类型;2-3°C为过渡类型(宽尾冰川)。冰川的面积和体积对温度和降水变化不是线性的(图3),这种非线性关系受到地形的控制。如降水不变,达到末次冰期盛冰期(LGM)和MIS3中期冰川规模需要温度分别降低2.3°C,3.2°C;LGM时降水是现在的30-70%,温度比现在下降2.9-4.6°C;MIS3时降水比现在的多40-100%,温度比现在下降1.8-2.5°C。
该研究得到中国科学院战略性先导专项B,国家自然科学基金等的支持。研究结果发表在期刊:Journal of Glaciology,文章链接:https://doi.org/10.1017/jog.2016.147

图 1. 研究区位置图

图 2 冰川-气候模型模拟温度从0.5°C降到5°C,冰川变化情况

图3 冰川面积和体积随温度和降水的变化特征