科研成果
  当前位置:首页 > 科研成果 > 科研进展
Plant and Soil: 青藏高原沿降水梯度土壤可溶性氮的生物与非生物控制因子
2020-07-27      
  土壤有机氮是陆地土壤氮库的主体。在高纬度和高海拔地区,低温限制了土壤有机氮的矿化速率,导致有机氮,特别是可溶性有机态氮的大量累积。传统观点认为土壤有机态氮转化为土壤无机氮的过程是陆地生态系统氮循环的限速步骤,但近年的研究则指出土壤中高分子量有机态氮转变为低分子量有机态氮才是陆地生态系统氮循环的限速步骤(Hill et al. 2011, Nature Climate Change),尤其是研究证实植物对土壤低分子量有机态氮的吸收成为物种共存的重要机制之一(McKane et al. 2002, Nature),气候变暖背景下高寒草甸优势植物通过增加对土壤低分子量有机态氮的吸收维持了其在群落中的优势地位(Jiang et al. 2018)。因此,明晰土壤可溶性有机氮的驱动因子对预测未来气候变化条件下区域尺度上陆地氮循环和生态系统功能响应具有重要意义。
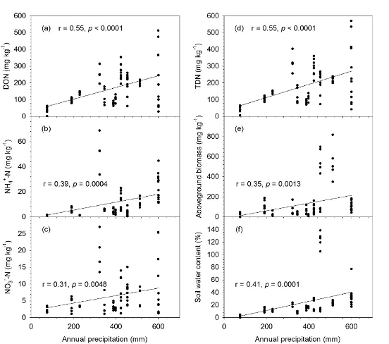
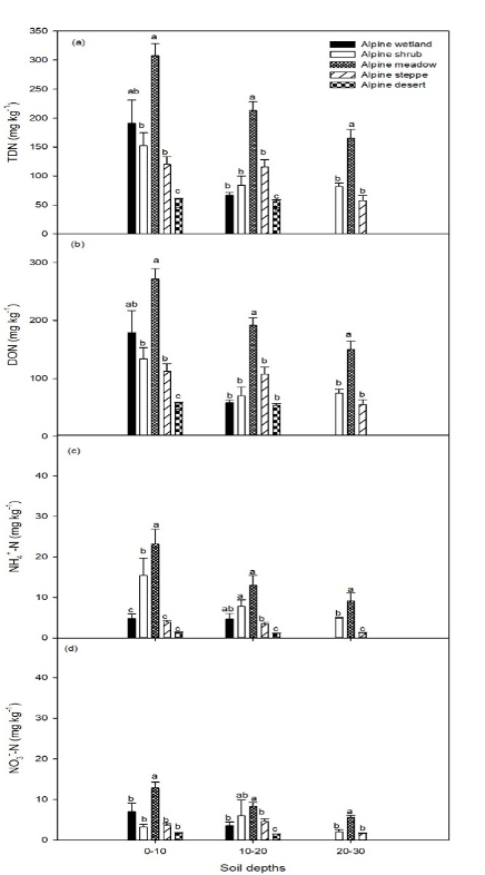
  本研究在青藏高原从东到西沿降水梯度按照草地类型设置了20个采样点(图1)。每个样点设置5个重复,每个重复设置不同土壤深度,分别采集植物和土壤样品。研究发现:1. 青藏高原土壤全氮、可溶性有机氮、铵态氮和硝态氮含量均与年降雨量呈显著正相关(图2);2. 地下生物量、土壤湿度、土壤微生物碳和土壤全磷含量解释84%的土壤可溶性有机氮的变化;3. 土壤可溶性有机氮占土壤全氮的比例随草地类型而异,高寒荒漠土壤可溶性有机氮占比最高而高寒草甸最低(图3, 4)。
  研究表明,降水和植物生物量的输入决定了青藏高原土壤可溶性氮的含量和周转,未来暖湿化的青藏高原将有更大更活跃的土壤可溶性有机氮库。
  该研究成果近期以“Abiotic and biotic controls of soil dissolved organic nitrogen along a precipitation gradient on the Tibetan Plateau”为题,在土壤科学类国际重要期刊Plant and Soil上发表。中科院青藏高原研究所生态系统功能与全球变化团队姜丽丽副研究员为该论文的第一作者。该研究得到了中国科学院A类战略性先导科技专项“泛第三极环境变化与绿色丝绸之路建设”、 第二次青藏高原综合科学考察研究专项和国家自然科学基金项目的资助。
图1. 实验采样点及涉及的植被类型 
图2. 土壤可溶性有机氮、土壤全氮、土壤铵态氮、硝态氮、土壤含水量和植物地上生物量与年平均降雨量相关分析
图3. 土壤全氮、可溶性全氮、铵态氮和硝态氮含量在青藏高原不同类型和不同深度高寒草地的分布
图4. 土壤可溶性全氮、铵态氮和硝态氮占土壤全氮的比例在青藏高原不同类型和不同深度高寒草地的分布
 
版权所有:中国科学院青藏高原研究所 Copyright © 2003-
通讯地址:北京市朝阳区林萃路16号院3号楼 邮政编码:100101
京ICP备05002818-1号 京公网安备110402500031号