科研成果
  当前位置:首页 > 科研成果 > 科研进展
LDD: 围栏显著降低青藏高原草地土壤微生物多样性
2020-06-10      
  围栏是国内外恢复退化草场、维持草地生态系统功能和可持续发展的主要且有效措施。青藏高原草地属于典型生态脆弱带,土壤养分贫瘠,对人类干扰和全球变化极为敏感。过度放牧已导致青藏高原草地严重退化,中央和地方政府在青藏高原实施了大量围栏工程,以恢复和保护该脆弱区退化草地,目前青藏高原围栏总面积已达332万公顷。但围栏如何影响青藏高原草地土壤碳固持、土壤微生物群落及其生态系统服务功能尚不明确。
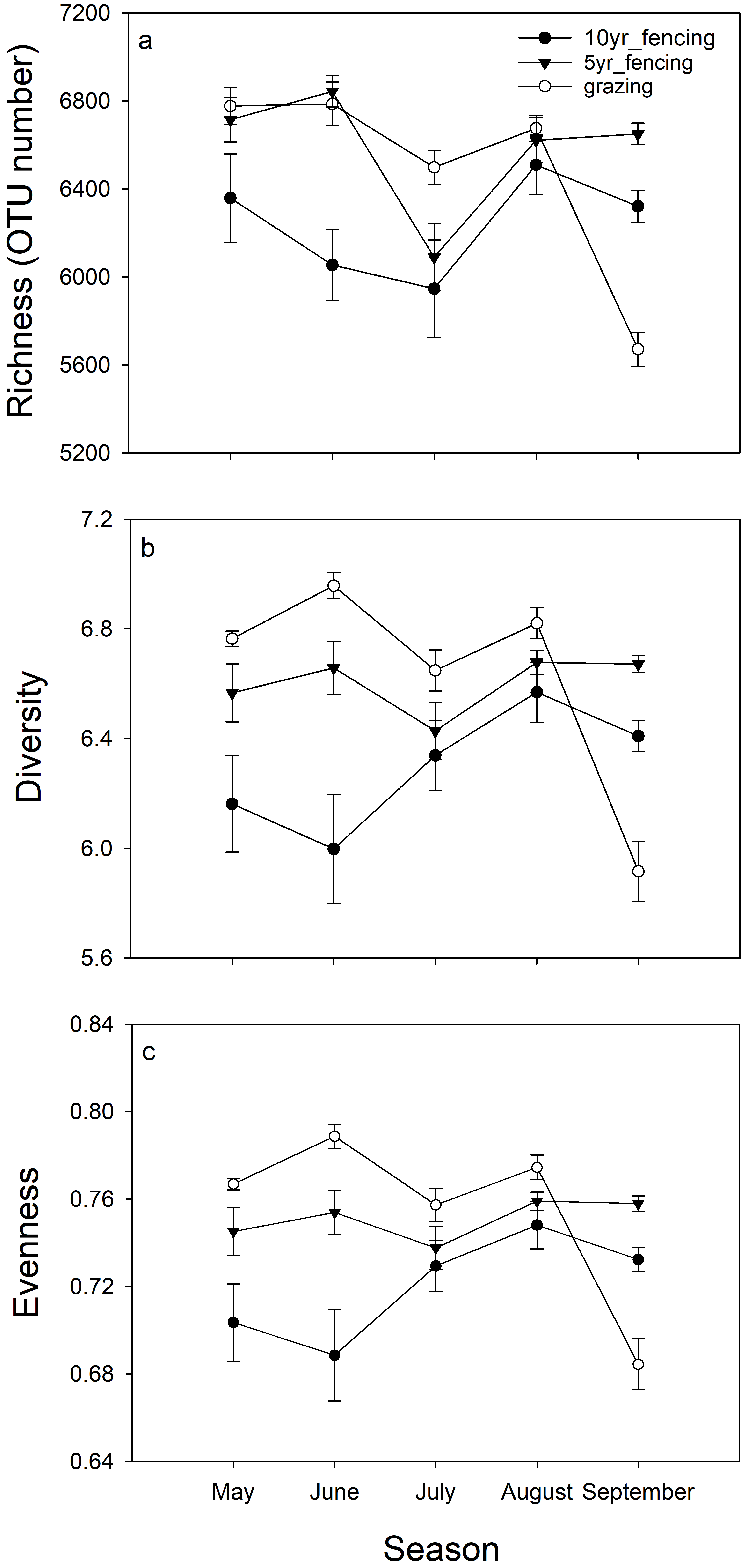
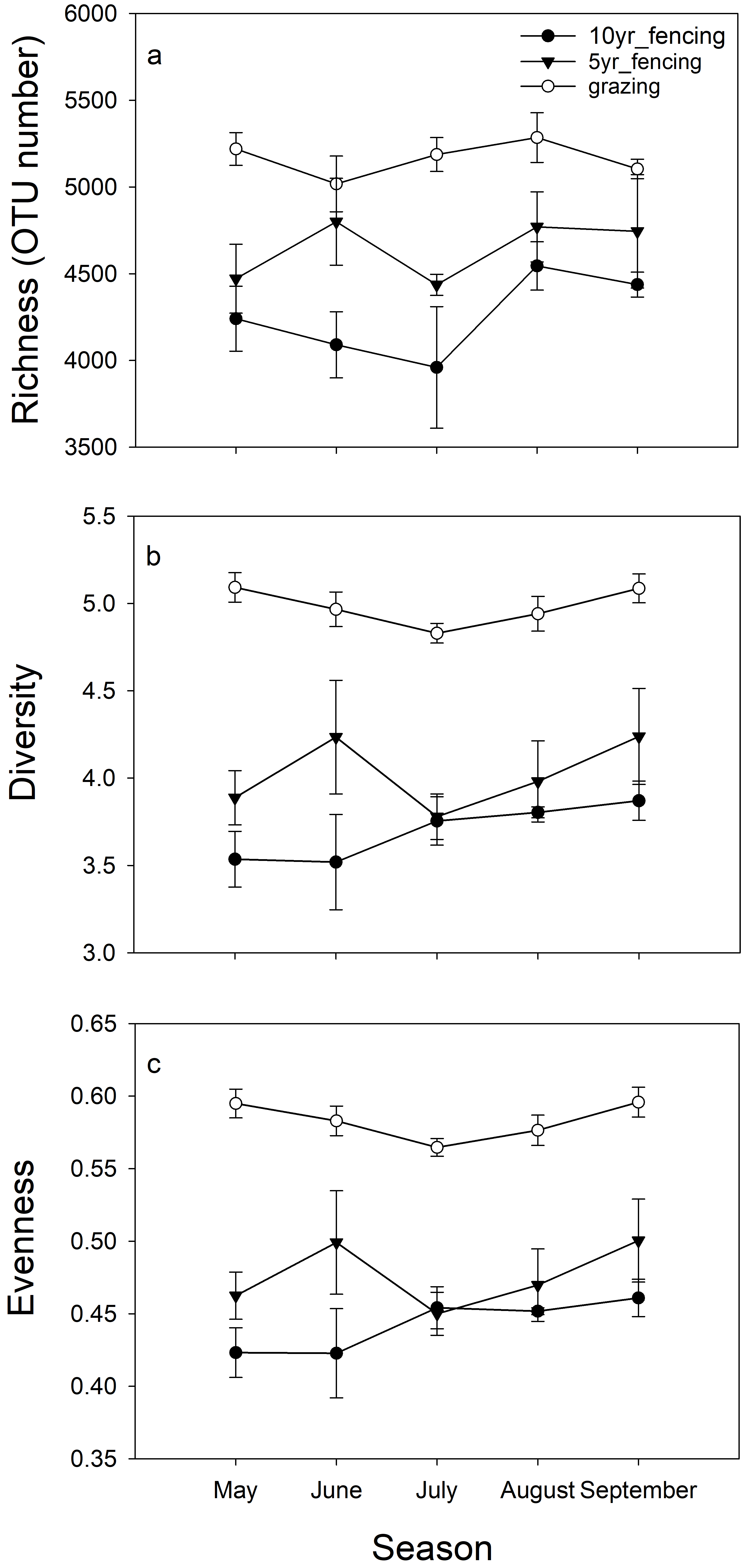
  为此,中科院青藏高原研究所生态系统功能与全球变化团队孔维栋研究员等,依托中国科学院纳木错多圈层综合观测研究站,系统研究了围栏(0年、5年及10年)对土壤微生物的数量、多样性及其群落结构的影响。研究表明,围栏提高了青藏高原草地土壤碳储量、降低了土壤pH,并显著提高了土壤微生物数量。与传统研究结果不同,围栏虽提高了土壤养分和水分含量,但显著降低了土壤细菌(图1)和真核微生物多样性(图2)。进一步研究发现,围栏和季节变化提高了土壤含水量,导致细菌多样性显著降低(图3)。这是由于较高土壤含水量促进了竞争性更强的细菌大量生长,快速生长的微生物占据了生态位,从而抑制适应干旱环境、生长缓慢的细菌种类;较高含水量还会降低适应干旱条件的好氧生物种类。对土壤真核微生物而言,土壤pH降低显著抑制了真核微生物丰富度、多样性和均匀度(图3),说明较低pH值会抑制真核微生物生长,增加钙和镁等土壤离子浸出,提高铝对微生物的毒性效应,从而降低土壤微生物种类。此外,较低土壤pH值对真核微生物均匀度的抑制作用远大于其丰富度,说明某些忍受低pH值的真核微生物相对丰度下降,但并未消失。该研究揭示了围栏工程对高寒、干旱区草地土壤微生物及其潜在生态功能的影响,为围栏驱动土壤微生物多样性和群落结构变化提供了新机制。
  该研究成果近期以“Fencing decreases microbial diversity but increases abundance in grassland soils on the Tibetan Plateau”为题发表于Land Degradation and Development。硕士研究生樊丹丹为第一作者,孔维栋研究员为通讯作者,中科院成都生物研究所李香真研究员等参与了该研究。该研究获中科院A类战略性先导科技专项和院重点研究项目(XDA19070304、QYZDB-SSW-DQC033)及国家自然科学基金(41771303)等项目共同资助。
  文章链接:http://dx.doi.org/10.1002/ldr.3626 
图1 青藏高原草地土壤中细菌丰富度(a),多样性(b)和均匀度(c)随生长季变化
图2 青藏高原草地土壤中真核微生物丰富度(a),多样性(b)和均匀度(c)随生长季变化
图3 青藏高原草地土壤中细菌(a–c)和真核微生物(d–f)丰富度、多样性和均匀性与土壤理化因子相关性分析 
 
版权所有:中国科学院青藏高原研究所 Copyright © 2003-
通讯地址:北京市朝阳区林萃路16号院3号楼 邮政编码:100101
京ICP备05002818-1号 京公网安备110402500031号