盐分是驱动湖泊及海洋微生物多样性及群落结构的主要环境因子,但其对微生物间相互作用的影响还缺乏广泛研究。为此,中科院青藏高原研究所孔维栋研究员课题组采集了青藏高原25个盐分范围为0.46-118.07g/L的湖泊表层水样品,通过针对细菌16S核糖体RNA基因的高通量测序手段系统地研究了盐分对细菌多样性及群落结构的影响,并通过共存网络分析方法研究了盐分对微生物间相互作用的影响。
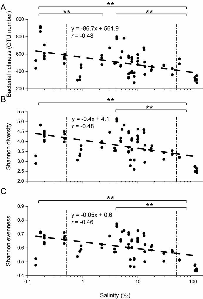
研究结果表明:1.与传统的认识相反,盐分的增加并不简单地降低细菌多样性,而是在中等盐度时增加微生物的丰富度及多样性(图1),这一现象与轻度干扰理论相符;2.尽管盐分是驱动细菌群落结构的最主要环境因子,但其影响在不同的盐度范围内发生变化。在淡水湖中(盐分<0.5g/L),细菌的群落结构主要受温度影响;而在超盐湖(盐分>50g/L)中,细菌的群落结构则主要受空间距离驱动(图2);3.盐分的升高可增加微生物共存网络的复杂性,尤其是加强了微生物间负相关关系的比重(图3)。这可能是由于盐分的升高选择性地筛选了耐盐或嗜盐微生物,造成生态位的重叠,进而导致微生物间的竞争加剧所致。
这一研究表明盐分对细菌群落的影响远比传统认识复杂,这一过程可能受微生物的耐盐范围、耐盐机制及扩散过程共同影响。该研究结果最近以“Salinity reduces bacterial diversity, but increases network complexity in Tibetan Plateau lakes”为题发表于FEMS Microbiology Ecology。该研究得到了科技部科技基础性工作专项及国家自然科学基金等项目资助。
文章链接:https://academic.oup.com/femsec/article-abstract/95/12/fiz190/5645230?redirectedFrom=fulltext

图1 湖泊表层水细菌丰富度(A)、多样性(B)及均匀度(C)随盐分变化规律

图2 细菌在淡水湖(A)、咸水湖(B)及超盐湖(C)的群落结构及驱动因子

图3 细菌在淡水湖(A)、咸水湖(B)及超盐湖(C)的共生网络结构图