科研成果
  当前位置:首页 > 科研成果 > 科研进展
Science of the Total Environment:养分消除盐分对青藏高原湖泊固碳微生物群落的抑制效应
2019-09-03      
  固碳微生物是湖泊、海洋等水生生态系统中最重要的初级生产者,虽然其总生物量不足全球自养生物总量的1%,但每年的固碳量可达到48.5 Pg C,约占全球总初级生产力的一半,是全球碳循环过程的重要一环。固碳微生物数量及其多样性受盐分、养分及温度等多种环境因子共同驱动。湖水盐分升高显著降低微生物数量和群落多样性,如青藏高原高盐湖泊微生物多样性显著低于低盐湖泊。也有研究发现,高盐湖泊微生物多样性反而高于低盐湖泊,但其机制尚未揭示。青藏高原湖泊分布广泛,占我国湖泊总面积的49.5%,其湖泊类型多样,盐分、养分及pH等环境因子差异巨大,是研究固碳微生物群落特征、固碳潜力及其环境因子驱动机制的天然实验室。
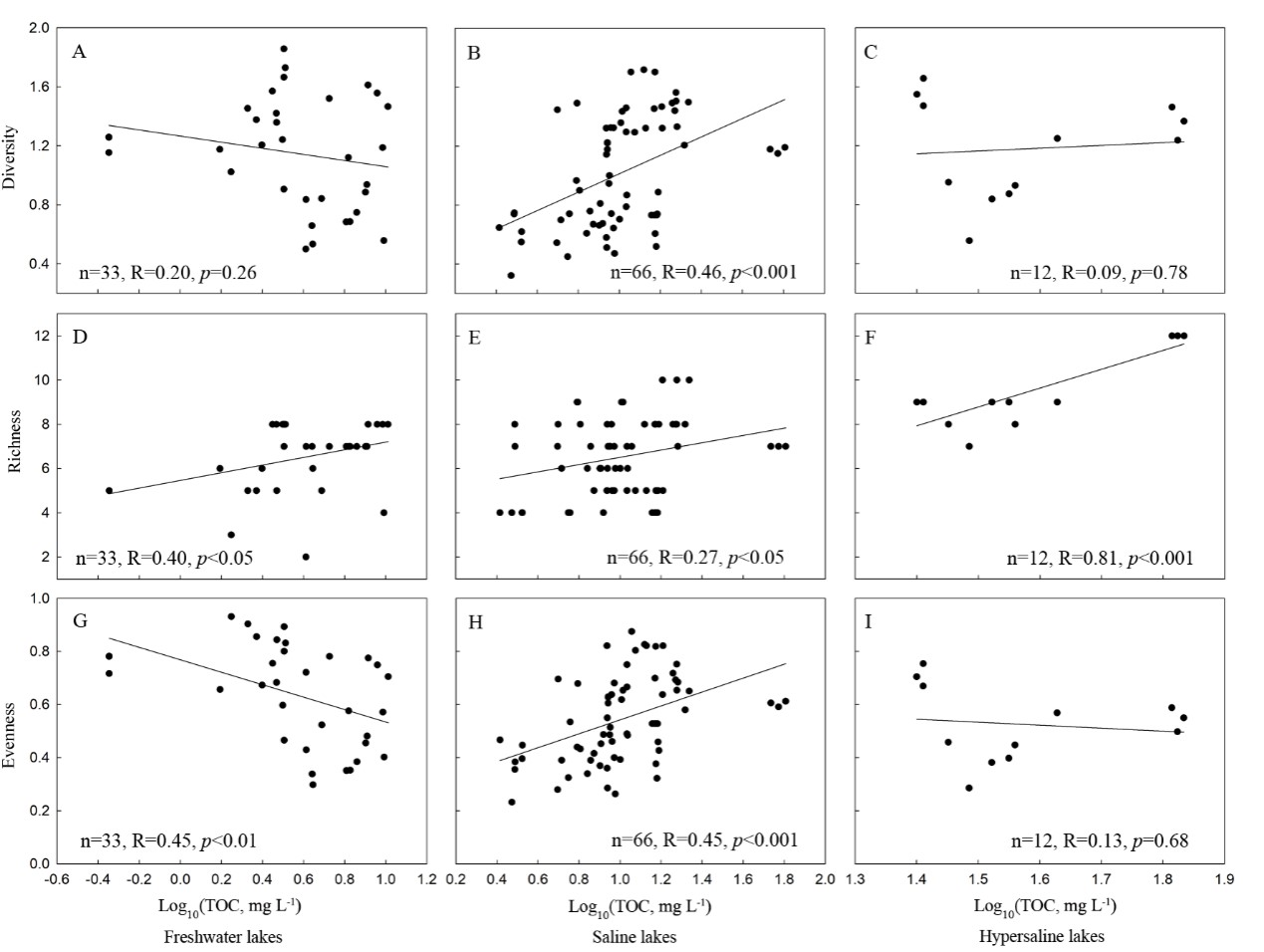
  中国科学院青藏高原研究所孔维栋研究员课题组对青藏高原不同类型(淡水湖、盐湖和超盐湖)湖泊水体固碳微生物群落特征进行了深入研究。结果表明,淡水湖(含盐量<1‰)中,固碳微生物数量随着盐分升高而逐渐升高(图1),但是在盐湖(1‰<含盐量<29‰)中,随盐分增加而显著降低,在超盐湖(含盐量>29‰)中则没有明显的变化。湖泊固碳微生物数量与水体总有机碳、总氮及温度显著正相关,表明养分和温度显著提高了固碳微生物数量,并能抵消盐分的抑制效应。在淡水湖和盐湖中,盐分显著降低固碳微生物多样性。但在超盐湖中,固碳微生物多样性随盐分升高而逐渐增加。线性回归分析表明,养分显著提高了盐湖固碳微生物多样性及均匀度,表明养分可以抵消盐分的抑制效应(图2),说明固碳微生物能够高效利用养分,从而抵御逆境因子对其多样性的抑制,该机制可能是固碳微生物群落在极端环境中的关键生存策略。不同盐分湖泊中固碳微生物类群不同,淡水湖及盐湖中主要为β变形菌,而超盐湖中则主要为更加耐盐和嗜盐的γ变形菌(图3),说明耐盐和嗜盐菌是维持超盐湖高固碳微生物数量和多样性的关键机制。综上所述,高效利用养分和耐盐/嗜盐类群是维持盐湖和超盐湖高固碳微生物数量和高多样性的两个关键机制,可消除盐分对固碳微生物的抑制效应。
  该研究成果最近以“Community response of microbial primary producers to salinity is primarily driven by nutrients in lakes”为题发表于Science of the Total Environment。该研究得到了中科院先导专项、中科院重点部署项目、国家自然科学基金委及科技部科技基础性工作专项等多个项目的联合资助。
图1 固碳微生物数量随盐分的变化
图2 固碳微生物群落多样性、丰富度、均匀度随养分的变化
图3 青藏高原湖泊固碳微生物群落组成。A:淡水湖,B:盐湖,C:超盐湖
 
 
版权所有:中国科学院青藏高原研究所 Copyright © 2003-
通讯地址:北京市朝阳区林萃路16号院3号楼 邮政编码:100101
京ICP备05002818-1号 京公网安备110402500031号