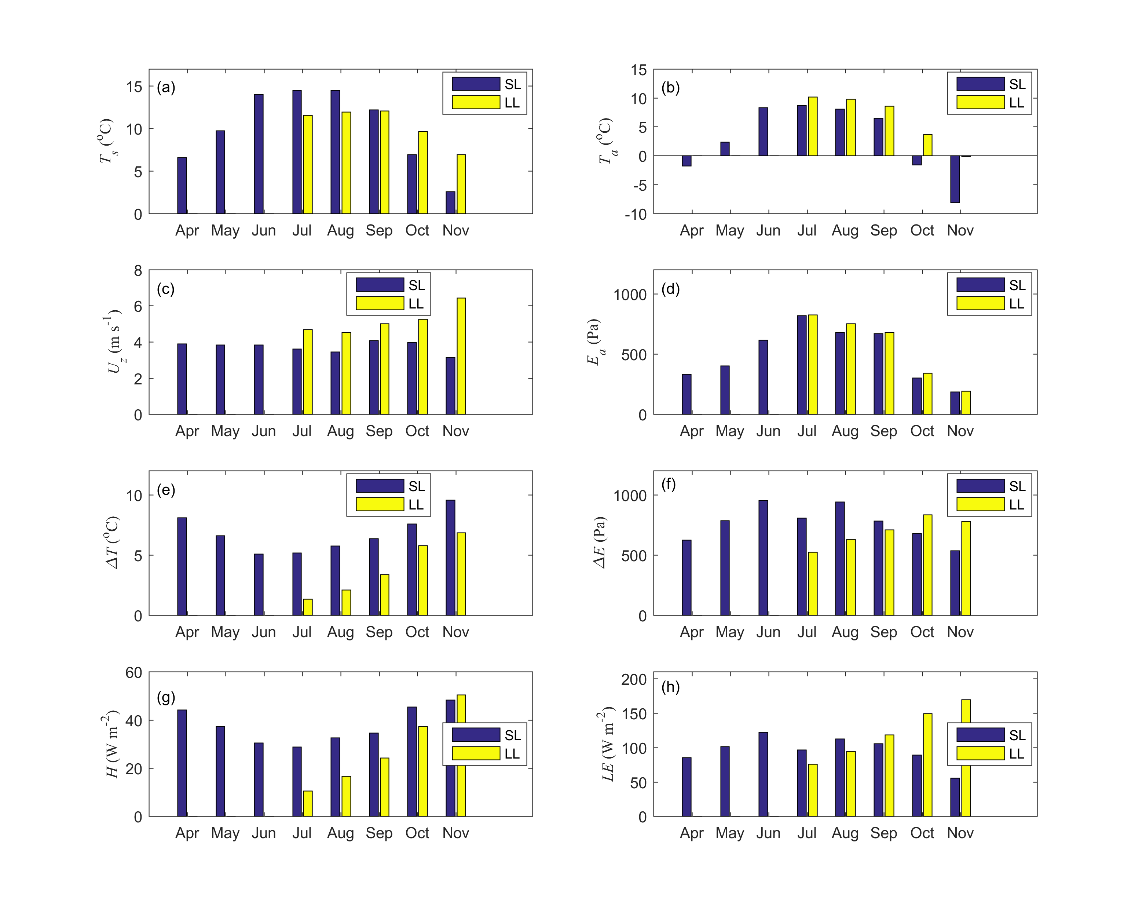
青藏高原湖气相互作用特征参数和湖气间水热通量交换在湖泊对区域气候的影响与响应模拟研究中至关重要,并且湖泊湖面蒸发是湖泊流域水量平衡研究的重要分量。在以往针对青藏高原纳木错湖的湖面蒸发研究中,人们基于纳木错湖的水文气象及卫星遥感观测资料进行湖面蒸发估算,但不同研究结果在其季节变化和年总量上显示出显著的差异。另外,由于青藏高原观测资料的缺乏,人们对于相邻的小湖和大湖的湖气交换特征参数、气象要素和湍流通量的差异研究仍有待开展。 近日,中国科学院青藏高原研究所、中国科学院青藏高原地球科学卓越创新中心和中国科学院大学马耀明研究员团队的王宾宾博士基于青藏高原纳木错小湖(“小湖”)和纳木错湖(“大湖”)的涡动相关观测资料(图1),分析了两个湖泊非结冰期湖气交换特征参数、湖泊气象要素和湖气间水热通量的差异。研究结果表明,由于小湖和大湖之间内在属性和环境气象条件差异,两个湖泊湖气相互作用过程及湖面蒸发量存在显著差异:大湖夏季湖表最高温度要低3℃左右,风速和月平均温度更高,湖水和空气温度的季节变化峰值明显推迟;大湖湖表的动力学粗糙度和动量总体传输系数比小湖高80%和21%左右,而热量和水汽总体传输系数低7%左右(图2);两个湖泊的气象要素、潜热通量和感热通量具有明显不同的季节变化(图3),。大湖非结冰期的湖面蒸发( 981±18 mm)也比小湖非结冰期的湖面蒸发(812 mm)要高,该结果与纳木错大湖观测到的较低的波文比有关。 该研究得到了中国科学院战略先导研究计划(XDA20060101)、中国科学院项目(QYZDJ-SSW-DQC019)、国家自然科学基金项目(41661144043, 41830650, 91637312, 41522501, 41705005, 91737205)等项目的资助,研究内容以题目为“Significant differences exist in the lake-atmosphere interactions and the evaporation rates of high-elevation small and large lakes”在Journal of Hydrology 上发布。 论文链接:https://www.sciencedirect.com/science/article/pii/S0022169419302951 
图1 (a)纳木错流域小湖(白框1)和大湖(白框2)的观测位置;(b1)小湖观测概况,白色五角星为仪器位置,黑色圆圈为纳木错站位置;(b2)小湖观测仪器;(b3)小湖风向玫瑰图;(c1)大湖湖心岛观测概况;黑色五角星为大湖观测位置;(c2)大湖观测仪器;(c3)大湖区域风向玫瑰图。 
图2 纳木错大湖和小湖(a)动量粗糙度,(b)热量粗糙度,(c)水汽粗糙度,(d)动量总体输送系数,(e)热量总体输送系数,(f)水汽总体输送系数的对数统计分布图。红色代表小湖,蓝色代表大湖。 
图3 大湖和小湖(a)湖表温度,(b)空气温度,(c)风速,(d)空气水汽压,(e)温度梯度,(f)水汽压梯度,(g)感热通量和(h)潜热通量的对比。蓝色代表小湖,黄色代表大湖。 |