华南地区位于北回归线附近,从世界范围来看,南北半球的回归线附近由于受副热带高压控制,大部分地区被干旱的沙漠或稀树草原覆盖,而同纬度的我国华南地区却是降水丰沛、林木葱郁的湿润季风区,因此被誉为“北回归线上的绿洲”。事实上,以往的研究基于岩性和古植物等资料,揭示了新生代早期华南地区即为干旱的气候环境。那么现今盛行于华南地区的季风气候是何时形成的?季风强度、特征和性质及其形成机制又是什么?

图1 研究区地理位置(a);百色(b)、茂名(c)和长昌(d)各月平均降水量、气温
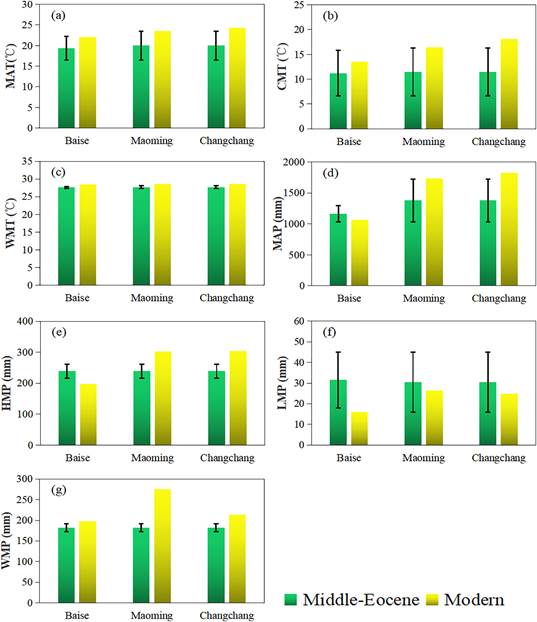
针对这一科学问题,中国科学院青藏高原研究所大陆碰撞与高原隆升实验室、青藏高原卓越创新中心方小敏研究员课题组博士生谢宇龙及其合作者,对华南地区3个盆地中始新世地层孢粉进行了详细的研究,重建了该区中始新世的古植被与古气候。研究表明:中始新世的孢粉组合中含有大量的榆粉属、桤木粉属、栎粉属、枫香粉属,伴生有丰富的喜湿热的热带、亚热带常绿树种,推测当时的盆地或丘陵地带生长着亚热带常绿阔叶林,盆地周边山地上生长着温带落叶阔叶林或针叶林,当时的植被面貌与现今华南基本相似,反映了温暖湿润的亚热带气候。利用共存分析法定量重建的气候参数与现今基本相似:年均温为16.5~23.5℃,年平均降水量为1035~1724mm,气温尤其是降水具有明显的季节性变化,属亚热带季风气候。降水和气温显著的季节性变化以及年降水量的空间变化与现今受东亚季风影响显著的华南地区的气候类似,清晰地指示了华南中始新世的气候主要是受东亚季风影响,而不是传统观点认为的受“热带辐合带(Intertropical Convergence Zone-ITCZ)”摆动影响形成的热带季风。结合以往的动植物化石、岩性等地质证据,进一步确定了东亚季风至少在4000万年前的中始新世就已经在华南地区建立,尽管季风的强度较现今弱。在上述工作的基础上,研究人员进一步探讨了中始新世东亚季风在华南地区建立的动力机制:始新世印度次大陆的向北漂移以及伴随的印度与欧亚板块碰撞和青藏高原中南部的隆升,加强了海陆热力的对比,加深了亚洲大陆夏季的低压,由此加强了华南地区的东亚夏季风。
这一研究成果对认识华南地区现代植被与气候格局的形成演化具有重要意义,为理解亚洲季风早期起源演化提供了重要的信息。
该研究成果于2月1日以“ Middle Eocene East Asian monsoon prevalence over southern China: Evidence from palynological records”为题,在国际地学期刊Global and Planetary Change上在线发表( https://www.sciencedirect.com/science/article/pii/S0921818118305599 )。中国科学院青藏高原研究所博士生谢宇龙为第一作者,吴福莉副研究员和方小敏研究员为共同通讯作者。该研究得到了中国科学院A类战略性先导科技专项“泛第三极环境变化与绿色丝绸之路建设”和中科院西部之光项目的资助。

图2 百色、茂名和长昌中始新世气候参数与现今气候参数的对比。MAT:年均温;CMT:最冷月均温;WMT:最热月均温;MAP:年均降水量;HMP:平均最大月降水量;LMP:平均最小月降水量;WMP:平均最暖月降水量。


图3 华南地区中始新世主要孢粉类型