遥感积雪数据可以提供比有限的地面观测更广泛的积雪时空信息,而MODIS积雪产品是其中应用最为广泛的。该产品基于网格雪冰指数(NDSI)阈值法来判断积雪,即若NDSI值≥NDSI阈值则判定该网格为积雪覆盖。最近,NASA发布了MODIS积雪产品第6版(简称V6),以替代之前的V5版本。与V5相比,V6做出了一些重要更新,包括:(1)V6中的Aqua产品使用重建的波段6,而V5使用的是波段7来替代计算NDSI;(2)V6修改了V5中的温度屏蔽算法;在V5产品中,温度大于10℃的“积雪”网格会被屏蔽而重定义为无雪覆盖,而V6产品在此基础上加入了对高程的考虑,即对于海拔大于1300米的网格,即便温度大于10℃,也会定义为积雪网格,称之为“暖雪”;(3)最重要的是更新是,V6不再给出网格是否为积雪覆盖的直接判断,改为提供网格的NDSI。随着V6产品的发布,由于其主要作者G. A. Riggs等认为NDSI大于0就意味着网格内存在一定积雪,已有若干研究使用0作为NDSI阈值来计算积雪。但是,V6产品中有效NDSI的最低值实际上是0.1。而众所周知,V5产品使用的NDSI阈值是0.4。针对V6产品NDSI阈值如何选取在中国境内更合理这一问题,中国科学院青藏高原地球科学卓越创新中心、青藏高原研究所张凡研究员课题组张宏波博士及其合作者基于中国境内的200多个站点的日雪深数据,针对3种NDSI阈值利用6种评价指标综合评价了V6产品在中国境内的精度,并与V5产品进行了对比。

图1. 研究区概况
结果表明:(1)NDSI阈值取0.1比0.4的验证精度更高(图2);尽管通过敏感性试验得到的局部最优NDSI阈值的精度最高,但由于通常状况下无法得到某一地区的局部最优值,NDSI阈值取0.1比0.4更合理;(2)与上一代V5产品相比,虽然V6的Terra产品的精度并没有明显提升,但是V6的Aqua产品的精度显著高于V5的Aqua产品的精度(图3),这很可能是由于V6/Aqua使用了重建的波段6来计算NDSI;(3)V6产品虽然改进了“暖雪”的检测方法,但是本研究发现该方法在中国高海拔地区(尤其是青藏高原)的验证精度较差,即大部分“暖雪”网格实际上并非积雪覆盖。此外,本研究还发现,V6产品在青藏高原的精度明显低于其他地区(图4),这可能是由青藏高原相对较低的雪深和高海拔复杂地形造成的网格尺度问题导致的。综上,推荐在中国境内对V6产品使用NDSI阈值0.1判定积雪。

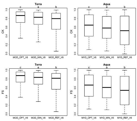
图2. 三种NDSI阈值方案精度对比。
MOD_OPT_V6:NDSI阈值取局部最优值;MOD_MIN_V6:NDSI阈值取0.1;MOD_ REF_V6:NDSI阈值取0.4。CK:Cohen’s Kappa;FS:F-score;上方小写字母代表多重比较结果(0.01显著性水平):含有相同字母表示无显著差异,反之表示具有显著差异。

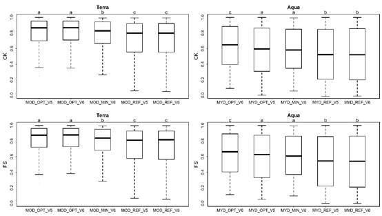
图3. MODIS积雪V6产品和V5产品精度对比。
MOD_OPT_V6:V6产品NDSI阈值取局部最优值;MOD_MIN_V6:V6产品NDSI阈值取0.1;MOD_ REF_V6:V6产品NDSI阈值取0.4。MOD_OPT_V5:V5产品NDSI阈值取局部最优值; MOD_ REF_V5:V5产品NDSI阈值取0.4。CK:Cohen’s Kappa;FS:F-score;上方小写字母代表多重比较结果(0.01显著性水平):含有相同字母表示无显著差异,反之表示具有显著差异。

图4. MODIS积雪V6产品在青藏高原与高原以外地区的验证精度对比。
TP: Tibetan Plateau; CK:Cohen’s Kappa;FS:F-score;RC: recall; PC: precision; OA: overall accuracy。
该研究得到了国家自然科学基金(41701079、41771090和41761144078)和中国博士后基金(2017M620069和2017M611013)资助,近期在线发表于期刊Science of the Total Environment,论文题目“Ground-based evaluation of MODIS snow cover product V6 across China: Implications for the selection of NDSI threshold”,
论文链接:https://www.sciencedirect.com/science/article/pii/S0048969718340099 。