固碳微生物是一类与植物相似将大气CO2转化为有机质的微生物。土壤微生物固碳功能的重要性最近几年才逐渐被认识,但土壤固碳微生物群落特征、固碳潜力及其环境因子驱动机制尚未被认识。干旱半干旱生态系统约占全球陆地面积的41%,该生态系统植被生长受到包括土壤水分在内的多种环境因子限制,凸显土壤微生物固碳的重要性。青藏高原属寒冷型干旱半干旱生态系统(冷漠,年均温低于零度),其低温、干旱和强紫外等极端环境极大限制了草地植被固碳潜力,是生态脆弱带和气候变化放大器。
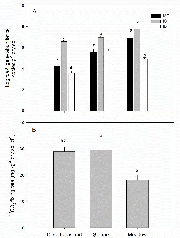
最近,中国科学院青藏高原研究所高寒生态重点实验室孔维栋研究员课题组以青藏高原这一典型冷漠生态系统为例,采用微生物分子生态学和13CO2稳定同位素标记技术,深入研究了草地土壤固碳微生物群落特征及其固碳潜力。研究表明,荒漠草地和草原土壤固碳微生物数量远低于草甸土壤,但其固碳潜力却比草甸土壤高61%(图1)。土壤微生物固碳量与地上植被生物量和土壤氨浓度显著负相关,表明越贫瘠土壤中微生物固碳潜力越大,如荒漠草地。土壤固碳微生物数量随年均降水量、地上植被生物量和土壤铵态氮浓度增加而显著升高,但随干旱度指数(1-AI)增加而降低(图2)。采用结构方程模型耦合所有环境因子进一步分析表明,年均降水量可直接提高土壤固碳微生物数量,也可通过驱动地上植被生物量、土壤有机质和土壤养分而间接提高土壤固碳微生物数量(图3)。不同草地类型,form IAB及IC类固碳微生物群落结构差异显著;这个两个固碳微生物类群的群落结构均由年均降水量及干旱度指数驱动(图4)。
该研究量化了青藏高原草地土壤微生物的固碳潜力,阐明了气候因子是驱动土壤固碳微生物数量、群落结构和固碳潜力的主控因子,从土壤碳循环过程和功能微生物类群角度证实了青藏高原草地冷漠生态系统对气候变化敏感。此外,由于遥感技术目前不能捕捉土壤微生物固碳信号,故植被遥感会低估全球干旱半干旱生态系统土壤固碳潜力。因此,目前基于植被遥感技术测算的全球陆地碳储量可能会被低估,从而加大地球系统模型评估土壤碳循环过程的不确定性和偏差。
该研究成果最近以“Desert and steppe soils exhibit lower autotrophic microbial abundance but higher atmospheric CO2 fixation capacity than meadow soils”为题发表于Soil Biology and Biochemistry(https://doi.org/10.1016/j.soilbio.2018.09.034)。该研究得到了中科院先导专项、中科院地球科学前沿重点项目和国家自然科学基金委多个项目联合资助。
文章链接:https://www.sciencedirect.com/science/article/pii/S0038071718303456

图1 青藏高原草地土壤中cbbL基因丰度(A)和土壤13CO2固定速率(B)

图2 青藏高原草地土壤固碳微生物数量(以cbbL基因表示)与环境因子的相关性。

图3 气候、植物和土壤因子对青藏高原草地土壤微生物数量的直接及间接影响。

图4 青藏高原草地土壤固碳微生物群落结构及其驱动因子。A:Form IAB类固碳微生物,B:form IC类固碳微生物。