水分有效性是决定高寒干旱区物种分布及生态系统功能的关键因子,正确理解水分有效性随海拔的变化规律将有助于预测高山生态系统对未来气候变化的响应。然而,降水量(水分有效性的主要驱动因子)随海拔和坡向的变化格局多样,以及温度、土壤质地、土壤深度、积雪和融雪时间等均会影响水分有效性的海拔格局,尤其在气象站数据稀少的边远山区,水分有效性很难精确量化。因此,寻找一个简单可靠的土壤水分有效性代用指标很有必要。
C3植物叶碳稳定同位素比值(δ13C)综合反映了生长季期间植物与环境的水分关系。在干旱地区,叶δ13C对土壤水分有效性的变化非常敏感,但温度、降水、大气压和土壤等环境因子以及叶片厚度和叶氮含量等叶性状也可能影响叶δ13C的海拔格局。那么,干旱山区广布物种的叶δ13C是否可以用来指示水分有效性随海拔的变化?尤其在高海拔地区温度和大气压的影响下,这种关系是否普遍存在?相关研究报道少见。
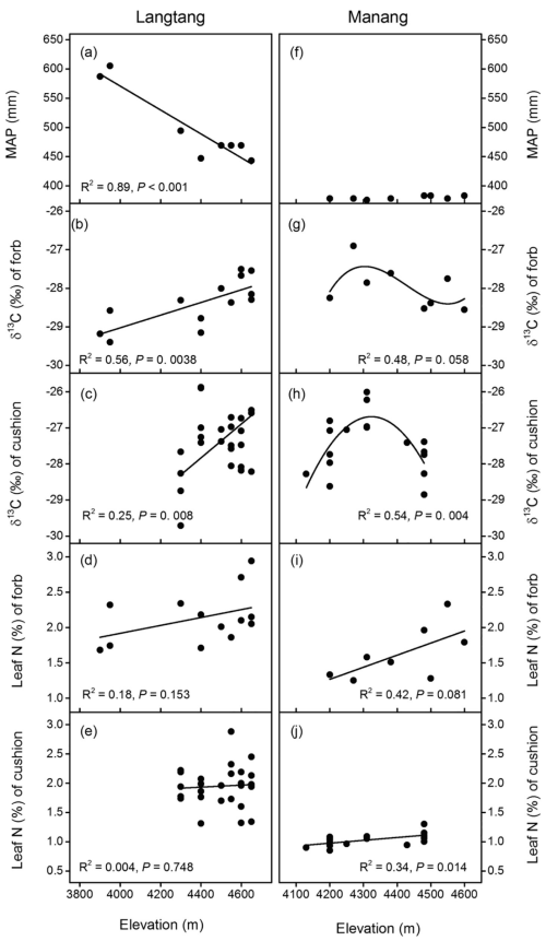
为此,中国科学院青藏高原研究所高寒生态学与生物多样性重点实验室罗天祥课题组及其合作者在喜马拉雅中部(尼泊尔)系统开展了海拔梯度样带调查(图1),采样测定了三种广布植物的叶δ13C和氮含量,同时计算了各海拔样点的气候湿润指数(基于全球1-km WorldClim数据集),结果发现:1)降水的海拔格局影响叶δ13C的海拔分异性:在Langtang,随着海拔增加,年降水量显著降低(图2a),叶δ13C显著增加(图2b, c);而在Manang,随着海拔增加,年降水量几乎没有变化(图2f),叶δ13C呈非线性变化(图2g, h);2)3物种的叶δ13C均与生长季湿润指数呈显著负相关(图3);3)跨越不同降水格局的同一草本物种,叶δ13C与湿润指数和年降水量均呈负相关(图4);4)叶δ13C的种内差异主要受湿润指数和降水量的影响,而与海拔和叶氮含量无关。
研究结果表明,高山广布物种的叶δ13C可指示水分有效性随海拔的变化。便于采样测定的叶δ13C指标有助于检测高寒干旱山区的植物水分胁迫程度,也为评估气候变化对高山植物的影响提供了新途径。
研究成果以Leaf δ13C as an indicator of water availability along elevation gradients in the dry Himalayas为题发表于Ecological Indicators (Ale R, Zhang L, Li X, Raskoti BB, Pugnaire FI, Luo TX*, Ecological Indicators, 94: 266-273)。
论文链接:
https://www.sciencedirect.com/science/article/pii/S1470160X18305223?via%3Dihub

图1:研究区域示意图,展示分别位于Manang和Langtang的两条海拔样带位置和距离研究样带最近的气象站点,以及年降水量和植被指数的空间分布

图2:年降水量(MAP)、叶δ13C和氮含量在Langtang(a-e)和Manang(f-j)随海拔的变化。(b, d , g, i) Langtang和Manang样带的草本植物Potentilla microphylla;(c, e) Langtang样带的垫状植物Androsace lehmannii;(h, j) Manang样带的垫状植物 Androsace muscoidea

图3:叶δ13C与生长季(6-9月)湿润指数的关系。(a, b)草本植物Potentilla microphylla; (c)垫状植物Androsace muscoidea; (d)垫状植物Androsace lehmannii

图4: 跨越Manang和Langtang样带的草本植物Potentilla microphylla叶δ13C与生长季湿润指数(a)和年降水量(b)的关系。