物候是研究气候变化响应的最敏感性指标之一。然而,多数研究只观测返青或开花或枯黄等单一物候,很少开展整个生活史期间不同物候序列对气候变化的响应方向和程度,因为有研究表明前期物候的变化可能会影响后期物候的响应模式。特别是气候的长期变化包含了增温和降温的变化与波动,但很少有人关注降温的影响。
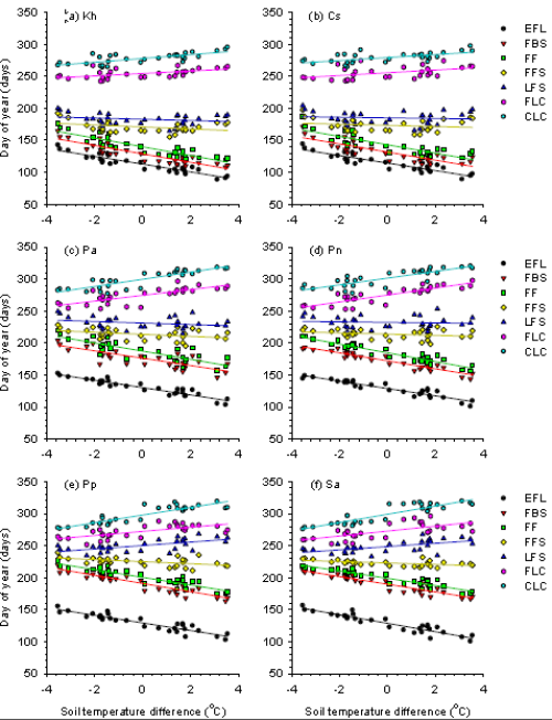
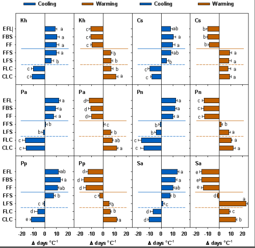
近日,中国科学院青藏高原地球科学卓越创新中心、青藏高原研究所汪诗平研究员课题组(论文第一作者为姜丽丽博士)及其合作者,基于山体垂直带双向移栽试验,为研究上述科学问题提供了独特的试验平台。研究发现增温分别提前了三种早期物候(返青期、现蕾期和初花期)和晚期物候(初黄期和枯黄期)4.8-8.2和3.2-7.1天°C-1;而降温推迟了它们物候3.8-6.9和3.2-8.1天 °C-1,而初果期和终果期的变化则相对较小(图1)。进一步分析表明,无论是初果期还是终果期与土壤温度的变化均无显著的相关性,或者相关性较小(图2)。因此,高寒植物可能通过保持结果期的相对稳定来适应气候变化,以便最大程度地保证果实成熟和扩散。该研究成果近期发表在Ecology杂志上(Lili Jiang, Shiping Wang, Fandong Meng, Jichuang Duan, Haishan Niu, GuangPing Xu et al. 2016. Relatively stable response of fruiting stage to warming and cooling relative to other phenological events. Ecology, DOI: 10.1002/ecy.1450). 文章链接: http://onlinelibrary.wiley.com/doi/10.1002/ecy.1450/full
图1. 增温和降温条件下物候事件开始和结束的时间比较。EFL:第一个叶子出现;FBS:第一个花蕾出现;FF:第一个花出现;FFS:杂类草第一个果实出现或禾草第一个果实出现;LFS:最后一个果实建立;FLC:第一片叶子发黄;CLC:所有叶子变黄。早期物候事件包括EFL, FBS 和 FF,晚期物候事件包括FLC 和 CLC。实线以上是早期物候事件,虚线以下是晚期物候事件。果实建立位于实线和虚线之间。△days代表移栽点(接受植物植入的点)和起源点(移出植物的点)的不同。正负值指移栽点相对于起源点提前或延后的天数。Kh, Kobresia humilis; Cs, Carex scabrirostris; Pa, Potentilla anserine; Pn, P. nivea; Pp, Poa pratensis; and Sa, Stipa aliena.

图2. 不同物候事件第一次出现和移栽点与起源点土壤温度(5cm)差异的线性回归。A, B, C, D, E, and F 分别是 Kobresia humilis (Kh), Carex scabrirostris (Cs), Potentilla anserine (Pa), P. nivea (Pn), Poa pratensis (Pp), and Stipa aliena (Sa)。EFL, FBS, FF, FFS, LFS, FLC, CLC 见图1.