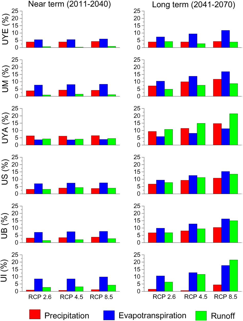
青藏高原是亚洲主要大河的发源地并且是地球上除南极北极外的第三大冰川集结区。伴随着全球升温,高原上的冰川正呈现出总体退缩的态势。高原上持续的升温和冰川退缩对下游生态和数十亿人口的供水将产生怎样的影响?对这个问题的回答,目前已成为国际研究热点。而已有的青藏高原径流对未来气候变化的响应研究主要集中在印度河支流及其它小流域上,在整个高原尺度上的系统评估较少。为数不多的几个大尺度研究中,对青藏高原主要河源区径流未来的走向却得出相反的结论。 为了对青藏高原主要河源区径流对未来气候变化的响应给出一个系统评估,青藏高原所苏凤阁等人联合国际一批科学家,进行了深入研究。本研究根据CMIP5中的20个气候模式在RCP2.6,RCP4.5和RCP8.5情景下的气候输出,利用链接冰川模块的陆面水文模型评估了青藏高原6大河源区(长江,黄河,澜沧江,怒江,雅江,印度河)对未来气候变化的响应。结果显示,高原上的平均降水相对于1971-2000时段在近未来(2011-2040)将增加5-10%,在远未来(2041-2070)将增加10-20%;高原气温在各种情景下西北部将升温2-4°C,东南部升温1.2–2.8°C。各流域源区径流在近未来相对于基准期将基本维持稳定或微弱增加,而由于降水和冰川融水的增大,各源区径流在远未来将增加2.7–22.4%(图1)。印度河未来径流的增加主要由于冰川融水的增加所致,而长江,黄河,澜沧江和怒江源区未来径流的增大主要由于降水增加所致。雅江上游未来的径流有超过50%的增量是来源于冰川融水的增加所致(图2)。各季风流域未来径流的季节分配将基本保持不变;而对于受西风控制的印度河上游,则表现出春季融水提前和春季总径流增大的趋势(图3),这将有利于下游作物春季生长季节的灌溉供水。 本研究利用CMIP5中的气候情景和分布式陆面水文模型,首次对青藏高原6大河源区径流对未来气候变化的响应给出系统的评估,本研究将为青藏高原水资源变化趋势预测和水资源管理提供理论基础和技术支撑。研究成果发表在Global and Planetary Change上(F. Su, L. Zhang, T. Ou, D. Chen, T. Yao, K. Tong, Y. Qi. 2016. Hydrological response to future climate changes for the major upstream river basins in the Tibetan Plateau, Global and Planetary Change, 136: 82-95)。 本研究得到中科院先导专项B类《青藏高原多圈层相互作用及其资源环境效应》和基金委重大项目《第三极地球系统中水体的多相态转换及其影响》的资助。 原文链接 
图1 青藏高原六大河源区降水、蒸发和总径流在近未来(2011-2040)和远未来(2041-2070)在各气候情景下相对于基准期(1971-2000)的变化 
图2 青藏高原六大河源区降雨径流、融雪径流和冰川径流在各情景下对总径流的贡献(%) 
图3 青藏高原六大源区总径流在RCP8.5情景下1971-2000、2011-2040和2040-2071时段的季节分配 |