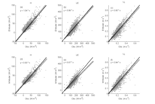
作为“亚洲水塔”,青藏高原存在大量的湖泊,其中超过98%的湖泊的面积小于1km2。在全球气候变暖的背景下,伴随着降雨的增加和冰川的消融,青藏高原的湖泊数量在增多且大部分的湖泊面积在增大。由于湖泊水体较低的反照率、较大的热容量和对太阳辐射的可穿透性,湖-气之间的热量和水分的传输交换与陆-气间有明显不同。湖-气间湍流通量是湖泊边界层生长的重要驱动力,并且是数值气候模型中湖-气交换过程的重要变量。湖-气间感热通量和潜热通量的观测和模拟对区域能量平衡和水循环的研究意义重大。 近期,中国科学院青藏高原地球科学卓越创新中心马耀明研究员课题组(王宾宾博士为第一作者,王宾宾博士为通讯作者),以纳木错小湖涡动相关观测数据为基础(图1),分析了该湖表面湖-气能量通量的传输交换特征,并对湖-气湍流通量传输交换模型(总体传输模型,B Model和多层模型,M Model)进行了验证和分析。研究结果表明:水分的总体传输系数和粗糙度长度要高于热量,在低风速条件下尤其明显;在自由对流条件下,潜热通量与风速间呈现明显的均方根关系;在小湖的粗糙度和通量模拟中,波浪相对较短的波长引发低估的粗糙度长度,并导致潜热和感热通量的低估;适应于该小湖粗糙度长度参数的查诺克数和粗糙雷诺数分别为0.031和0.54,优化后的参数更加适合小湖湍流通量的模型模拟(图2)。 该研究得到了中国科学院战略性先导专项B和国家自然科学基金等的支持,研究结果发表在JGR-Atmosphere(待刊)http://onlinelibrary.wiley.com/doi/10.1002/2015JD023863/pdf。 
图1. (a) 纳木错湖地区; (b) 研究区域; 红色三角和十字分别是涡动相关仪器和纳木错观测站的位置; 水平尺度3.5km×3.5km; (c) 涡动相关观测系统。 
图2. 观测和使用改进参数模拟(总体传输模型(a-c)和多层模型(d-f))的感热通量(H),潜热通量(LE)和摩擦速度(U*)的散点图;1:1线和线性拟合线(拟合方程)分别显示为点线和圆圈线。 |